My Shopping Cart
| Bulk Discounts Prices | |
| Quantity | Price |
| 1 | $265.50 |
| 5 | $252.00 |
Technical Specifications
| Specification | Value |
|---|---|
| Capacity | 15 Litres |
| Material | Food-Grade Stainless Steel |
| Height | 310 mm |
| Diameter | 280 mm |
| Opening Diameter | 130 mm |
| Tap Type | Honey Gate Tap |
| Weight | 4 kg |
*All measurements are approximate and may vary slightly.
Olive Oil Science Update
In the pursuit of advancing olive oil quality, a groundbreaking development for the industry has emerged from a recent study that has illuminated how specific compounds — particularly secoiridoids — can substantially improve the oxidative stability and shelf life of ‘Corbella Extra Virgin Olive Oil (EVOO).
The collaborative Spanish study, carried out at an industrial mill, centered on assessing the influence of malaxation conditions and olive storage on the composition of ‘Corbella’ EVOO, offering insights with potentially transformative implications for the sector.
Extra Virgin Olive Oil is celebrated worldwide for its health-promoting properties and distinctive flavor, establishing itself as a culinary cornerstone across cultures. Nevertheless, its oxidative stability — a key factor in determining shelf life and overall quality — has long been the focus of intensive research. This latest investigation has presented compelling evidence that certain compounds play a decisive role in reinforcing EVOO’s stability.
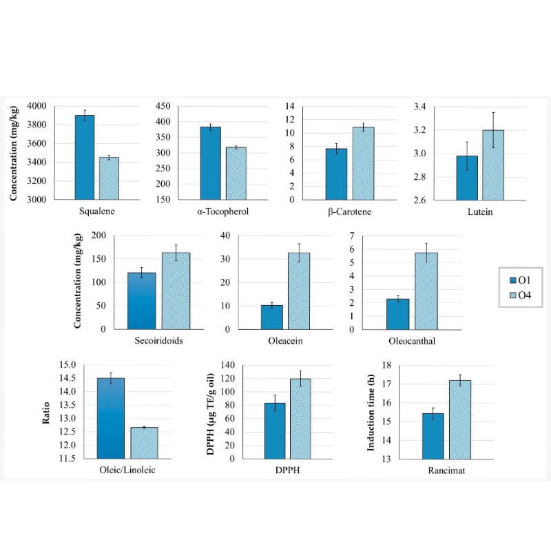
The principal compounds examined included phenolic compounds, tocopherols, carotenoids, squalene, and fatty acids, all of which are fundamental to the oil’s composition. The findings revealed that extended malaxation at higher temperatures, together with olive storage, negatively affected compounds such as α-tocopherol, squalene, flavonoids, lignans, phenolic acids, and phenolic alcohols. However, paradoxically, both the antioxidant capacity and oxidative stability of the oil improved under these conditions. This enhancement was attributed to a marked increase in the concentration of two secoiridoids: oleacein (56–71%) and oleocanthal (42–67%).
Oleacein and oleocanthal are widely recognized for their potent antioxidant activity, and this study has underscored their critical contribution to reinforcing EVOO’s stability and extending its shelf life. In addition, the research identified a synergistic interaction between secoiridoids and carotenoids, further highlighting their collective role in enhancing the resilience and longevity of EVOO.
Concentrations (mg/kg oil) of squalene, α-tocopherol, β-carotene, lutein, secoiridoids, oleacein, and oleocanthal in ‘Corbella’ Extra Virgin Olive Oil (EVOO) samples O1 and O4, along with the oleic/linoleic ratio, antioxidant capacity (DPPH, µg TE/g oil), and oxidative stability (Rancimat induction time, h). Sample O1 was produced on the day of harvest, while O4 was produced the following day using stored olives. Both EVOOs were malaxed at 18 °C for 30 minutes. Data are presented as mean ± standard deviation (n = 9). All parameters showed significant differences (p < 0.05) between samples.
One of the most notable discoveries was the ‘Corbella’ cultivar’s ability to yield EVOOs with a favorable oleic/linoleic ratio. The research indicated that storing olives overnight at ambient temperature, followed by malaxation at no less than 23 °C for 40–50 minutes (depending on the precise temperature), could substantially elevate the concentrations of oleacein and oleocanthal. This increase, in turn, contributed to a measurable improvement in the oxidative stability of EVOOs.
These findings represent a significant advancement in efforts to address and enhance EVOO stability, offering practical applications for producers aiming to extend shelf life while safeguarding quality.
The study also highlighted several promising avenues for future research. Key areas of interest include identifying strategies to further elevate oleacein and oleocanthal levels through agronomic and climatic variables, fruit maturity, and technological aspects of oil extraction.
Moreover, the evaluation of EVOO quality and stability over long-term storage, together with interventional studies assessing the direct influence of these secoiridoids on both product longevity and human health, remains a critical area requiring deeper exploration.
In summary, the research underscores the pivotal role of secoiridoids — particularly oleacein and oleocanthal — in enhancing oxidative stability and extending the shelf life of ‘Corbella’ EVOO. These insights hold dual significance: they offer tangible benefits for producers while also presenting potential health advantages for consumers, marking a milestone in the olive oil industry’s ongoing pursuit of excellence.
Research conducted by Alexandra Olmo-Cunillera 1,2ORCID,Maria Pérez 1,2ORCID,Anallely López-Yerena 1ORCID,Mohamed M. Abuhabib 1ORCID,Antònia Ninot 3ORCID,Agustí Romero-Aroca 3ORCID,Anna Vallverdú-Queralt 1,2ORCID andRosa Maria Lamuela-Raventós
About Secoiridoids
Secoiridoids exhibit a wide range of pharmacological properties, including anti-diabetic, antioxidant, anti-inflammatory, immunosuppressive, neuroprotective, anti-cancer, and anti-obesity effects. These diverse biological activities have significantly heightened scientific interest in the in-depth study of these bioactive compounds.
About Olive Oil Processing Technologies
Olive Oil Processing Plants: Compact Olive Oil Processing Machinery, Processing Lines from 500kgs/hr – 10T/hr & Specialised Machinery to Enhance Your Line
Processing Articles
OLIVE OIL STORAGE

The Sansone Welded Fusti Tanks represent one of the most trusted stainless steel container designs in the food industry. Manufactured in Italy by Sansone, these tanks are built according to the highest international standards for the preservation of food-grade liquids such as olive oil, wine, honey, and food-grade liquids.
Each unit is produced using 18/10 AISI 304 stainless steel and is NSF certified, ensuring unmatched reliability, purity, and corrosion resistance. Their seamless welded construction guarantees easy cleaning and prevents the accumulation of organic matter or bacterial colonies - a crucial feature for industries where hygiene is paramount.
Built with head-to-head welding technology, the Sansone welded drums are designed to achieve maximum cleanliness and strength. This advanced welding method eliminates internal joints, making the surface completely smooth, which allows for easy sanitation and total prevention of bacterial growth.
These tanks are ideal for food processing, laboratory, and industrial applications that require hygiene compliant liquid handling. The seamless welded design also upholds that no residues or flavour transfer occur, maintaining the quality of your stored product.
Each model undergoes strict testing to meet the most rigorous quality standards and is part of Sansone’s commitment to producing long-lasting stainless steel containers that meet professional and domestic needs alike.
All models are equipped with a welded stainless-steel setup for a ½-inch tap, allowing safe and precise liquid dispensing. Each drum can also be paired with optional stainless steel or laminated stands, available in tall and short models or even with wheels for mobility.
Sansone provides several high-quality accessories to enhance functionality and handling convenience:
Each Sansone welded fusti is produced under ISO 9001:2000 certified quality control systems to ensure consistent performance and reliability. The use of premium-grade 18/10 stainless steel guarantees long life, even under demanding industrial use.
Whether used in olive oil production by producers, wineries, or laboratories, these tanks provide the peace of mind that comes from Italian-made precision engineering, smooth cleaning surfaces, and safe, airtight liquid containment.
For olive oil producers, the Sansone Europa welded tanks provide the ideal environment for oil preservation, protecting against oxidation and contamination while maintaining taste and freshness. The tanks’ sleek finish and robust structure also make them suitable for front-of-house or retail presentation, where hygiene and visual quality are essential.
From boutique olive oil farms to food manufacturers, these stainless steel fusti tanks represent a long-term investment in quality, safety, and professionalism.
If you’re ready to elevate your storage and preservation standards with Sansone stainless steel welded tanks, explore the full range at
https://theolivecentre.com/shop/stainless-steel-tanks-2l-to-99l
As Australia’s leading distributor for Sansone products, The Olive Centre provides expert advice, local support, and fast delivery — helping you choose the perfect stainless steel fusti to suit your needs
Preserving the integrity of high-quality foods and liquids - especially extra virgin olive oil (EVOO) - depends on two things: a sound understanding of correct storage parameters and the use of vessels engineered to uphold those conditions with absolute reliability. This is where Sansone, Italy’s premier stainless-steel tank manufacturer, stands far above conventional storage solutions. As global quality standards evolve, the industry has moved decisively away from breathable plastics & reactive metals. With increasing focus on purity, sustainability, and product shelf-life, food-grade stainless steel has become the internationally accepted gold standard for storing oils, beverages, ferments, honey, pharmaceuticals, and more. Within that space, Sansone’s range - distributed in Australia by The Olive Centre - has set the benchmark for durability, hygiene, and performance for over five decades.
International Olive Council (IOC) guidelines highlight the key threats to olive oil quality, i.e. oxygen, light, and heat, each of which accelerates oxidation and rancidity. Proper storage must therefore minimise air contact, prevent light exposure, and maintain stable, cool temperatures.
Sansone’s engineering and material choices align perfectly with these requirements:
1. Oxygen Protection: Airtight Design & Minimised Headspace
The IOC highlights that once a container is opened, limiting headspace is essential to slow oxidation.
How Sansone supports this:
The IOC identifies light as the main threat to olive oil quality after oxygen.
Sansone’s advantage:
The IOC recommends storing olive oil between 13 - 25°C, and notes that lower temperatures (even refrigeration) can slow oxidation.
Sansone excels in temperature resilience:
The IOC emphasises cleanliness, inert materials, and contamination avoidance.
Sansone tanks surpass these needs through:
5. Durability & Long-Term Value: Sustainability Meets Performance
Stainless steel is durable, corrosion-resistant, and 100% recyclable - maintaining its quality through multiple recycling loops. Sansone’s robust construction means a single tank can last decades, dramatically reducing lifecycle costs compared with plastics or coated metals. Their longevity also prevents product loss due to leaks, contamination, or light-induced degradation, making Sansone an economically and environmentally superior investment for producers of all scales.
| Criteria | Plastic Containers | Stainless Steel Containers (e.g. Sansone) | Glass Containers |
|---|---|---|---|
| Material Reactivity | It can leach plasticisers over time, especially with acidic or fatty products. | Completely inert; AISI 304/316 food-grade steel prevents reactions. | Inert to most liquids but may interact with extreme pH. |
| Light Protection | Allows light penetration unless opaque. | 100% light-proof - ideal for olive oil and sensitive liquids. | Transparent unless tinted; light accelerates oxidation. Coloured glass can slow down light penetration. |
| Oxygen Protection / Seal Quality | Moderate; lids may warp or expand, increasing oxygen exposure. | Excellent - airtight seals and precision threads limit oxygen exposure. | Good initially, but seals vary; headspace increases quickly once opened. |
| Durability | Prone to warping, cracking, and UV degradation. | Extremely durable - decades of use without deforming. | Fragile; breaks or chips easily. |
| Temperature Resistance | Sensitive to heat; may warp or release BPA-like compounds/plasticisers. | Highly stable across temperature ranges, including refrigeration and warm environments. | Stable but expands/contracts; risk of thermal shock. |
| Hygiene & Cleanability | Scratches retain residues and microbes; absorbs odours. | Mirror-polished surfaces prevent buildup; no odour retention; easy sanitation. | Very hygienic but difficult to clean if narrow-necked. |
| Impact on Olive Oil Quality | Can accelerate oxidation; not recommended by IOC for long-term storage. | Ideal - protects from light, heat, and oxygen; aligned with IOC guidelines. | Good if dark/tinted and stored cool, but still sensitive to light exposure. |
| Sustainability | Limited recyclability; degrades in quality each cycle. | 100% recyclable without quality loss; extremely long lifespan. | Highly recyclable but higher breakage rate. |
| Weight | Lightweight. | Moderately heavy (depending on tank size). | Heavy and cumbersome, especially in larger volumes. |
| Cost (Upfront) | Low | Higher initial investment | Moderate cost |
| Cost (Lifecycle) | High - due to frequent replacement and product spoilage risk. | Low - one tank often lasts decades; prevents losses from contamination or oxidation. | Moderate - replacement due to breakage or seal failure. |
| Suitability for Industrial Use | Poor - short lifespan and limited hygienic control. | Excellent - used in olive oil production, wineries, pharmaceuticals, honey, and beverage industries. | Limited - weight and fragility restrict large-volume use. |
| Suitability for Long-Term Food Storage | Not recommended. | Excellent - best long-term solution for oils, ferments, beverages, and extracts. | Acceptable for short-to-medium term if protected from light. |
Table. Comparison of Plastic, Stainless Steel, and Glass Containers for long-term storage of food and liquids.
6. Functional Design That Enhances Workflow
Across the entire Sansone range - from 3 L benchtop units to 10,000 L industrial vats - each model is tailored for real-world handling:
These design elements reduce labour time, improve occupational safety, and streamline production lines.
Thanks to their inertness and long service life, Sansone tanks have become essential across multiple industries:
As Australia’s leading supplier of olive and food-processing equipment, The Olive Centre selects only products with proven excellence, traceability, and long-term reliability.
The partnership with Sansone ensures Australian producers - from boutique growers to large commercial processors - gain access to:
When global storage guidelines emphasise controlling light, oxygen, and temperature to protect olive oil and other sensitive liquids, Sansone’s stainless steel tanks don’t just meet these parameters - they optimise them. Their precision engineering, food-safe materials, airtight design, and unmatched durability align perfectly with IOC recommendations, giving producers complete confidence that every drop remains as fresh, pure, and vibrant as the day it was created.
In the world of modern food preservation and processing, few names embody the standards of quality, precision, and hygiene quite like Sansone Inox. Known globally for its mastery in stainless-steel engineering, Sansone continues to lead the industry in food-grade containment technology. Among its most sought-after innovations are its stainless steel silos, designed to meet the demanding needs of producers who value product purity, easy maintenance, and long-term durability.
Now available in Australia through The Olive Centre, Sansone’s Heavy-Duty Silos with Conical Base and Easy Discharge and the Variable Capacity Silos (Sempre Pieno) represent the highest standard in food-safe stainless storage. Built entirely from AISI 304–316L stainless steel, these silos are purpose-built to safeguard liquids like olive oil, wine, honey, vinegar, and other food-grade materials while maintaining their integrity over time.
Each Sansone silo tank is manufactured in Italy under the company’s ISO 9001:2000 quality control standards. The design focus is simple but delivers absolute cleanliness and complete drainage.
The conical base ensures total discharge of stored contents, preventing residues and eliminating the risk of contamination. Smooth, mirror-polished interiors allow effortless cleaning, while “Polished” or “marble” external finishes offer durability and aesthetic refinement.
Sansone silo tanks are particularly suited for olive oil mills, cooperatives, and cellar doors, where the highest level of product protection is required. The elliptical or round inspection door, double-valve nitrogen system (for fixed capacity type), and stainless steel sampling tap provide users with complete control of the stored product from top to bottom.
Sansone’s Storage Silos with Conical Base and Easy Discharge are designed for fixed installations that demand both hygiene and efficiency. Built from AISI 304 - 316L stainless steel, these silos are ideal for the hygienic storage of liquid foods in environments where contamination-free handling is critical. Each model features a fully welded conical base that ensures total emptying of the tank and minimises product in contact with sediment. The upper cover includes a nitrogen inlet valve, allowing an inert atmosphere for long-term storage without oxidation - especially valuable for olive oil.
The silos are fitted with elliptical front doors, sight gauges, and total/partial discharge valves, making maintenance and inspection straightforward. Every unit rests on reinforced stainless steel legs for stability, ensuring long-lasting service under continuous use.
| Capacity (L) | Height (mm) | Base (mm) | Opening (mm) | Total Height (mm) |
|---|---|---|---|---|
| 1,000 | 1,500 | 950 | 950 | 2,300 |
| 1,500 | 1,500 | 1,100 | 1,100 | 2,600 |
| 2,000 | 1,500 | 1,270 | 1,270 | 2,300 |
| 2,500 | 2,000 | 1,270 | 1,270 | 2,800 |
| 3,000 | 2,000 | 1,430 | 1,430 | 2,800 |
| 5,000 | 2,500 | 1,600 | 1,600 | 3,400 |
Technical specifications sourced from Sansone Stainless Steel Silos documentation. Conical-base silos ensure total drainage and contamination-free storage for food-grade liquids.
These models are ideal for food processing, laboratory, and industrial settings. The seamless conical design ensures total evacuation of liquids while maintaining a contamination-free environment. Each silo undergoes rigorous testing to meet the most demanding quality standards, including leak-proof inspections and pressure-resistance validation.
Optional features include:
For producers who need flexible capacity management, Sansone’s Fixed Capacity Silos - also known as Silos Sempre Pieno - provide a reliable “always full” system that prevents oxidation and product spoilage.
Each tank features a floating stainless-steel lid that adjusts to the liquid level, ensuring no air is trapped between the product and cover. Combined with a conical base, the design facilitates total discharge and makes cleaning fast and efficient.
Manufactured from AISI 304 stainless steel, these silos are the benchmark for wineries and olive mills where maintaining product quality is crucial during storage or decanting. Optional accessories include a level indicator rod, floating arm, and adjustable support legs to guarantee perfect levelling.
| Capacity (L) | Height (mm) | Base (mm) | Opening (mm) | Total Height (mm) |
|---|---|---|---|---|
| 300 | 940 | 640 | 640 | 1,340 |
| 400 | 1,020 | 700 | 700 | 1,420 |
| 500 | 1,170 | 740 | 740 | 1,570 |
| 750 | 1,480 | 800 | 800 | 1,880 |
| 1,000 | 1,480 | 930 | 930 | 1,880 |
| 1,500 | 1,500 | 1,100 | 1,100 | 2,300 |
| 2,000 | 1,500 | 1,270 | 1,270 | 2,300 |
| 2,500 | 2,000 | 1,270 | 1,270 | 2,500 |
| 3,000 | 2,000 | 1,430 | 1,430 | 2,500 |
| 5,000 | 2,500 | 1,600 | 1,600 | 3,100 |
Data sourced from the Sansone Stainless Steel Silos PDF (Variable Capacity Series). Floating-lid Sempre Pieno design ensures oxidation-free storage and total discharge.
Each unit can be equipped with steel air floating lids, anti-alcohol chambers, and stainless pump groups with double valves. From small-scale honey producers to major wineries, these variable-capacity silos provide safe, stable, and efficient storage control.
To complement the Sansone Storage Silos with Conical Base and Easy Discharge, a selection of optional accessories is available to enhance performance, hygiene, and adaptability in food production. These Italian-engineered accessories are constructed from the same AISI 304–316L stainless steel as the silos, ensuring seamless integration and durability under continuous use.
Typical accessories include:
The Variable Capacity Silos (Sempre Pieno) can be upgraded with a wide array of optional accessories designed to provide maximum flexibility for wineries, olive oil mills, and honey producers. These fittings optimise storage management, allowing precise level control, air exclusion, and convenient product transfer.
Common optional features include:













Every Sansone silo is a result of over 40 years of Italian innovation and craftsmanship. The company’s mission remains unchanged - to offer containers that protect both product quality and the planet.
With 100% recyclable stainless steel and exceptional longevity, Sansone silos not only reduce environmental impact but also deliver significant long-term value for producers. Through The Olive Centre, Australian customers can access the full range, local after-sales support, and expert advice on installation, maintenance, and compliance.
Whether you’re preserving the finest extra virgin olive oil or fermenting honey wine, Sansone’s silos deliver unmatched quality and reliability that will stand the test of time.
Extra virgin olive oil (EVOO) is extremely sensitive to light, oxygen, heat and metal contact. Packaging, therefore, plays a direct role in how long an olive oil remains “extra virgin.” Major reviews from UC Davis emphasise that optimal packaging must reduce light exposure, oxygen ingress, and headspace, while also ensuring cool storage. At the same time, producers—especially small to medium Australian growers—must consider costs, machinery requirements, recyclability, consumer preferences, and minimum order quantities (MOQ). Below is the most complete and updated comparison of all common packaging formats.
PET offers convenience and low cost but has moderate oxygen permeability and allows light penetration, which accelerates oxidation. A 2023 study showed PET-stored EVOO experienced higher acidity, peroxide values, UV oxidation indices and sensory degradation over 12 months—especially at elevated temperatures.
Migration of PET oligomers and antimony into oil is within regulatory limits, but increases under heat.
rPET has a lower carbon footprint than glass, but Australian recycling for PET varies by region.
Metal cans provide total light protection and excellent oxygen barrier characteristics. UC Davis stresses that lined cans effectively prevent metal migration and protect quality.
Compared with BIB, cans may show slightly faster oxidation when half-empty, but still protect oil well if stored cool. A 24-month study found both cans and BIB maintained EVOO within legal quality limits.
Steel and aluminium have high recycling rates in Australia.
Many producers prefer cans because Australian consumers are increasingly concerned about soft plastics, especially given the collapse of local soft-plastic recycling schemes (e.g., REDcycle).
Best for: Bulk, foodservice, premium oils, export, and producers who want reliability without specialised equipment.
Glass is chemically inert. Coloured glass offers some UV and visible light protection—amber performs better than green - but clear glass accelerates photo-oxidation significantly.
Coloured glass slows degradation but still allows some light through, so shelf lighting and storage conditions matter.
Highly recyclable, but heavy to transport. Bottle breakage is an inconvenience for producers.
Best for: Premium retail oils with attention to storage conditions.
Research shows clear glass provides almost no light protection, leading to rapid losses in phenolics and faster oxidation.
UC Davis warns that clear glass should be avoided unless heavily covered by labels or cartons.
Best for: Fast-moving products or promotional oils kept strictly in the dark.
Bag-in-box offers some of the best oxygen protection because the collapsing bag limits headspace oxygen, and the cardboard blocks light. Numerous studies, including 12- to 24-month trials, confirm superior preservation of phenolics, freshness, and sensory properties compared with bottles and cans.
Plastic contact and disposal concerns hinder adoption, despite technical superiority.
Best for: Large producers with dedicated filling lines, subscription models, or export markets where BIB is accepted.
BOV packaging uses a hermetically sealed internal pouch separated from an external propellant. The oil never contacts the propellant; instead, it is dispensed by pressure.
Best for: High-end culinary oils, premium lines, foodservice, and producers wanting differentiation without investing in BIB equipment.
| Packaging Type | Light Protection | Oxygen Protection | Machinery Required | Recyclability (Australia) | Cost | Consumer Acceptance | Best Use Case |
|---|---|---|---|---|---|---|---|
| Cans (lined) |
★★★★★
|
★★★★☆
|
Easy | High | Medium | High | Bulk, premium, foodservice |
| Bag-in-Box |
★★★★★
|
★★★★★
|
Specialised | Low (soft plastics) | High (at scale) | Medium–Low | Long shelf life, export |
| Coloured Glass |
★★★☆☆
|
★★★★★
|
Easy | High | Higher | Very High | Retail premium |
| Clear Glass |
★☆☆☆☆
|
★★★★★
|
Easy | High | Higher | High | Fast turnover only |
| PET Plastic |
★☆☆☆☆
|
★★☆☆☆
|
Easy | Moderate | Low | Medium | Value lines, short shelf life |
| Bag-on-Valve (BOV) |
★★★★★
|
★★★★★
|
Moderate | Low–Moderate | Higher | Medium–High | Premium spray oils |
Selecting the most suitable packaging for extra virgin olive oil hinges on finding the right balance between quality preservation, consumer expectations, and production practicality. Among all options, lined metal cans stand out as one of the most reliable and efficient choices: they are easy to fill by weight, offer excellent protection from light and oxygen, avoid consumer concerns around plastics, and are highly recyclable in Australia. Coloured glass bottles remain the strongest retail performer, pairing good product protection with strong shelf appeal and flexible filling options - from hand-applied caps to automated capping machines that minimise leakage risks. Clear glass should only be used for fast-moving products due to its poor light protection.
While innovative systems like bag-on-valve offer outstanding oxygen exclusion and controlled dispensing, their higher cost and MOQ requirements mean they are best suited for premium or specialised product lines. PET plastic bottles can work for value-oriented, short-shelf-life oils kept in cool, dark environments, but they are not ideal for long-term storage or premium markets.
Overall, Australian producers benefit most by matching each packaging format to the oil’s intended shelf life, sales channel, and brand positioning. Thoughtful packaging selection not only safeguards quality but also streamlines production and aligns with evolving consumer and environmental expectations.
References
In a landmark moment for global agricultural preservation, olive seeds have been deposited for the first time in the Svalbard Global Seed Vault - the world’s most secure facility for safeguarding crop diversity.
Located deep within the Arctic permafrost of Norway’s Svalbard archipelago, the Seed Vault serves as a global backup system for the planet’s agricultural biodiversity. Often described as the “doomsday vault,” it protects seeds against the risks of climate change, natural disasters, conflict, and biodiversity loss.
Now, for the first time in history, olive seeds are part of that global legacy.
The deposit marks a significant step forward in protecting one of the world’s most iconic and culturally important crops. Olive trees have sustained civilizations for thousands of years, symbolising peace, resilience and nourishment. Preserving their genetic diversity ensures that this legacy continues for generations to come.
Jaime Lillo Lopez, Executive Director of the International Olive Council (IOC), highlighted the importance of the moment:
“The seeds we have deposited are the legacy of farmers who, throughout history, selected the most resistant trees - those that produced the best fruit or adapted to diverse soils, climates and diverse conditions. These seeds are a guarantee that future generations will continue to enjoy such an extraordinary product as olive oil.”
His words underscore what this deposit truly represents: not just seeds, but centuries of accumulated knowledge, adaptation, and agricultural selection.
This initiative was launched within the framework of the European H2020 GEN4OLIVE project, a research programme dedicated to unlocking and conserving olive genetic diversity. It was subsequently promoted by the IOC, the Food and Agriculture Organization of the United Nations (FAO), and Spain’s Ministry of Agriculture, Fisheries and Food.
The collaboration extended to leading academic and research institutions, including:
Organisations such as NordGen and the Crop Trust, along with representatives including Juan Antonio Polo Palomino, Abderraouf Laajimi, Álvaro Toledo, Dr. Kent Nnadozie, Concepción Muñoz Diez, Hristofor Miho and Pablo Morello Parra, also played key roles in bringing this milestone to fruition.
For olive growers and producers worldwide, this development carries profound implications.
Olive trees are uniquely adapted to marginal soils, water scarcity, and variable climates. However, increasing pressures from:
Traditional and wild olive varieties contain traits that may hold the key to:
The symbolic power of Mediterranean olive genetics being stored in Arctic ice is profound. It reflects the global importance of olives - no longer confined to traditional growing regions but increasingly cultivated across diverse climates worldwide.
As olive production expands into new regions, including areas facing climatic volatility, the value of preserved genetic material grows exponentially. The Svalbard deposit ensures that even in worst-case scenarios, the genetic foundation of the olive sector remains secure.
This initiative goes beyond seed banking.
It represents recognition that agricultural biodiversity is a shared global responsibility. Farmers, researchers, governments, and international organisations are united by a common understanding: safeguarding crop diversity is essential for future food systems.
The olive industry - deeply rooted in tradition - is demonstrating that it is equally committed to innovation, resilience and long-term stewardship.
For growers, processors, and industry stakeholders, this historic deposit sends a message: the olive sector is planning for the long term.
Preserving traditional and wild varieties ensures that future generations will continue to:
Leipzig Australia, led by chief executive Frank Vounasis, has unveiled plans for an $80 million olive grove development near Waikerie in South Australia.
The proposed project, known as Waikerie Grove, would span 1,000 hectares and become the state’s largest olive grove. It is expected to include approximately 357,000 olive trees and produce up to 2.8 million litres of olive oil annually.
The development is projected to create 20 full-time positions and around 70 seasonal jobs. Management of the grove will be handled by Diana Olive Oil, supported by a 30-year supply agreement with an ASX-listed distributor.
In addition to the grove, Leipzig Australia has proposed rezoning 300 hectares of nearby land to establish an employment precinct called Waikerie Park. Plans for the precinct include an olive-crushing plant and potential complementary businesses such as an abattoir, solar farm and nursery. The broader precinct is forecast to generate 346 full-time jobs and contribute approximately $38.4 million annually to the local economy.
According to Mr Vounasis, the olive grove will proceed regardless of whether rezoning for the employment precinct is approved. The project includes plans for a 10-13 kilometre pipeline drawing up to 900 litres per second from the River Murray to support operations.
If successful, a second 600-hectare plantation may also be developed. The rezoning proposal will now move to community consultation before being considered by the South Australian Government.
Source: The Greek Herald 30 / 12 / 2025, originally reported by The Advertiser.